LSGAN 의 장점
•
LSGAN 의 단점
•
Problem Definition
기존 GAN은 generator가 만든 sample이 실제 data distribution과 거리가 멀지라도, sigmoid cross entropy loss function 입장에서는 일단 discriminator를 속이기만 하면 문제가 없기 때문에 별다른 피드백을 주기 어렵습니다.
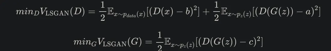
original GAN의 sigmoid cross entropy loss function은 vanishing gradients 문제가 있고, 따라서 출력 이미지는 실제 이미지에 비해선 분명히 품질이 떨어진다.
(b)에서, 오른쪽 아래의 가짜 데이터는 D를 잘 속이고 있지만 vanishing gradient(sigmoid 그래프의 양쪽 끝을 생각하라) 문제로 인해 거의 업데이트되지 않고, 따라서 가짜 이미지는 실제 이미지와는 동떨어진 결과를 갖는다.
그러나 (c)처럼 이렇게 경계로부터 멀리 떨어진 sample들을 거리에 penalty를 줘서 경계 근처로 끌어올 수 있다면 가짜 이미지는 실제에 거의 근접하게 될 것이다.
•
Solution
D를 위한 loss function을 least squares로 대체하면, 경계(decision boundary)로부터 먼 sample들은 penalty를 받아 경계 근처로 끌려온다.
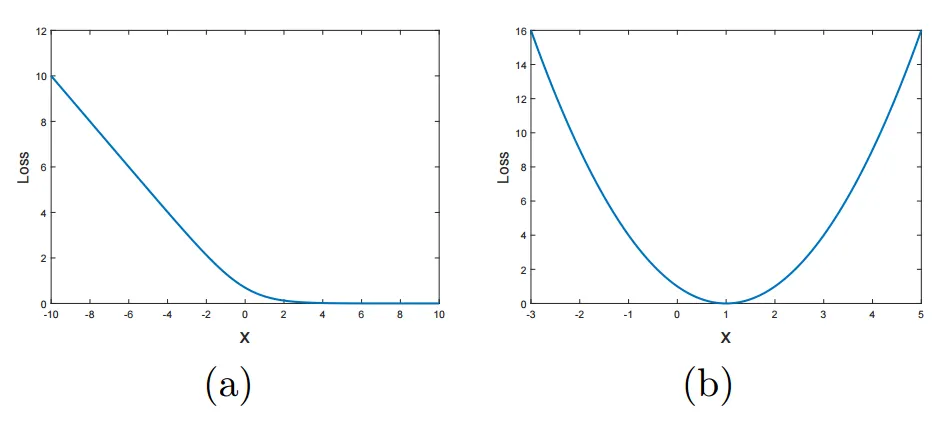
(a) The sigmoid cross entropy loss (b) The least square loss
Objective Function
•
Vanila GAN
•
LS GAN
b = real label , a = fake label, c = G의 입장에서 D가 믿도록 하고 싶은 값
a=-1, b=1, c=0 or a=0, b=c=1 (선택)



